Shopping cart

Subtotal: $318.00

View cart Checkout

Product Details

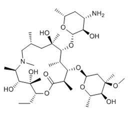
Azithromycin EP Impurity O

  • Home
  • Product Details
Project Image

Azithromycin EP Impurity O

Azithromycin

Product Code DAL
CAS NO 763924-54-5
Molecular Formula C39H74N2O12
Molecular Weight 763.01
Chemical Name (2R,3S,4R,5R,8R,10R,11R,12S,13S,14R)-11-(((2S,3R,4S,6R)-4-(dimethylamino)-3-hydroxy-6-methyltetrahydro-2H-pyran-2-yl)oxy)-3,4,10-trihydroxy-13-(((2R,4R,5S,6S)-5-hydroxy-4-methoxy-4,6-dimethyltetrahydro-2H-pyran-2-yl)oxy)-3,5,6,8,10,12,14-heptamethyl-2-propyl-1-oxa-6-azacyclopentadecan-15-one
Status in-stock
Quote