Shopping cart

Subtotal: $318.00

View cart Checkout

Product Details

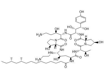
Caspofungin Impurity A

  • Home
  • Product Details
Project Image

Caspofungin Impurity A

Caspofungin

Product Code DAL
CAS NO 1202167-57-4
Molecular Formula C51H86N10O15
Molecular Weight 1079.29
Chemical Name (10R,12S)-N-((2R,6S,9S,11R,12R,14aS,15S,20S,25aS)-20-((R)-3-Amino-1-hydroxypropyl)-12-((2-aminoethyl)amino)-23-((1S,2S)-1,2-dihydroxy-2-(4-hydroxyphenyl)ethyl)-2,11,15-trihydroxy-6-(hydroxymethyl)-5,8,14,19,22,25-hexaoxotetracosahydro-1H-dipyrrolo[2,1-c:2`,1`-l][1,4,7,10,13,16]hexaazacyclohenicosin-9-yl)-10,12-dimethyltetradecanamide
Status in-stock
Technical Data Technical Docs
Quote