Shopping cart
Adderall
1 ×
$
40.00
Januvia
1 ×
$
99.00
Zubsolv
1 ×
$
56.00
Invokana
1 ×
$
23.00
Sublocade
1 ×
$
100.00
Subtotal:
$
318.00
View cart
Checkout
info@drashavins.com
Monday - Saturday: 8:00 am - 7:00 pm
German
French
Italian
Latvian
Spanish
Greek
Call Anytime
(+91)9855611075
Home
About Us
Products
Services
Contact Us
Careers
Gallery
Product Details
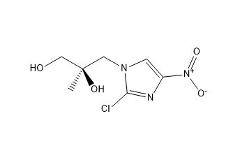
Delamanid Diol Impurity
Home
Product Details
Delamanid Diol Impurity
Delamanid
Product Code
DAL
CAS NO
681490-91-5
Molecular Formula
C7H10ClN3O4
Molecular Weight
235.63
Chemical Name
(2R)-3-(2-Chloro-4-nitro-1H-imidazol-1-yl)-2-methyl-1,2-propanediol
Status
in-stock
Quote
Enquiry
Related Products
Delamanid Diol Impurity
Delamanid
Make Enquiry
X
Full Name*
Email*
Company Name*
Contact No.*
Impurity Details
API Name*
Impurity Name*
CAS No*
Quantity*
Message